MATHEMATICS - CASE STUDY SOLUTION


Solution Diagram

 

Recall that the tangents of the parametric curves are given by

      when

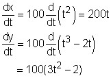
For the given parametric equations x = 100t2 and y = 100(t3 - 2t), the derivatives are given by

     

The tangent is then given by

     

It is found that for t = -1.1, the slope is -0.741.