|
|
MATHEMATICS - THEORY
|
| |
|
This section introduces a method to calculate area under a curve. |
| |
|
|
| |
|
Sigma Notation
|
| |
|
The Greek letter, Σ, is used to represent the
sum of a series and is called sigma notation. It allows long
sums (with many of terms) to be written in condensed form. In mathematics it is defined as following:
If am, am+1, ... , an-1, an are
real numbers and m and n are integers such that m < n, then

|
| |
|
|
| |
|
Rules for Sigma Notation
|
| |
|
The following formulas are some of the basic rules fro
sigma notation in which c is a constant:
|
| |
|
|
| |
|
The sigma notation can be used in many fields of study. besides engineering, such as economics. One such application in engineering is calculating area using finite rectangular areas. |
| |
|
|
| |
|
Area
|
| |
|
In high school, the formula to calculate the area of triangle, rectangle, circle and sphere was introduced. However, some areas, such as the area under the curve y = x2, can't be calculated easily with a formula. In this case, the sigma notation can help to find the area. |
| |
|
|

Area |
|
To find the area under a curve of function y = f(x) between
x = a and x = b, the interval can be equally divided into n pieces.
The width of each piece is
Δx = (b-a)/n
The left endpoint of these subintervals is
xi = a + iΔx
in which i = 0, 1, 2, ..., n-1.
These rectangles, whose height is f(xi), are placed under
the curve as shown on the left diagram. The area of each rectangle is
f(xi)Δx.
Therefore, the area under curve y = f(x) is approximately equal to the
sum area of these rectangles. It is

The more the rectangle used, the higher the accuracy is. Thus, the area
can be expressed as the limit

Recall, previously the left edge top corner of the rectangular area
was touching the curve. Now if the right side is used, the area can
be expressed with

These two limits both will converge to the same value as n goes to infinite. |
| |
|
|
The Area Under Curve y = x2
|
|
This method can be better understood by finding
the area under curve y = x2 between 0 and 2.
First, equally divided the interval [0, 2] into n subintervals, the
width of each subinterval is 2/n. The left x coordinates of the partitions
are 0/n, 2/n, 4/n, ..., 2n/n. The height of each rectangle is (xi)2.
The sum of the areas of the rectangles is

which can be rewritten as
 |
| |
|
|

Smaller Error
|
|
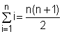
Rearranging this expression gives

Taking the limit of this expression as n approaches +∞ gives the area.
|
| |
|
|
|