Appendix: Sections
Multimedia Engineering Mechanics
Area
Volume
Mechanics
Chapter
1.
Stress/Strain
2.
Torsion
3.
Beam Shr/Moment
4.
Beam Stresses
5.
Beam Deflections
6.
Beam-Advanced
7.
Stress Analysis
8.
Strain Analysis
9.
Columns
Appendix
Basic Math
Units
Basic Mechanics Eqs
Sections
Material Properties
Structural Shapes
Beam Equations
eBooks
Dynamics
Fluids
Math
Mechanics
Statics
Thermodynamics
©Kurt Gramoll
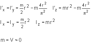
I = Mass Moment of Inertia
Box
Sphere
Cone
Cylinder
Semicylinder
Quarter Cylinder
Hollow Cylinder
Hemisphere
Hemisperical Thin Shell (t<<R)
Right Tetrahedral
Slender Rod
Quarter Circular Rod
Right Triangle Prism